xtalk_mult
Table of Contents
+title: Crosstalk for average over multiple exposures
previous results
non-linearities for intra-ccd crosstalk
for results see Texas collaboration meeting presentation: http://des-docdb.fnal.gov:8080/cgi-bin/RetrieveFile?docid=6804;filename=Texas_xtalk_KerstinPaech.pdf
inter-ccd crosstalk
Using average over exposures from 6 different nights (225 exposures with low sky noise) crosstalk coefficients are determined. As there are a lot of pairs to check, start with intra-DA board amp pairs and concentrate on neighboring DA's for inter-DA crosstalk. First matrix exculdes crosstalk coefficients for intra-ccd crosstalk (click on images to get larger version).
examples for very large inter-ccd (intra DA) crosstalk
Some examples of very large inter-ccd crosstalk (including intra-ccd crosstalk for source for comparison):
| source | victim | crosstalk | DA board |
|---|---|---|---|
| 5B | 6A | 1.75e-4 | 7 |
| 5A | 3.5e-4 | ||
| 52A | 53B | 1.35e-4 | 11 |
| 52B | -9.1e-4 | ||
| 57A | 58B | 1.5e-4 | 12 |
| 57B | 1.1e-4 |
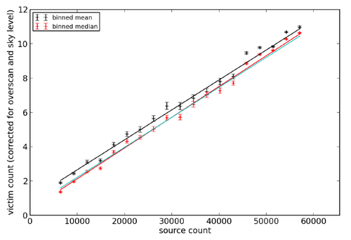
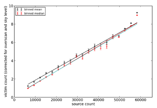
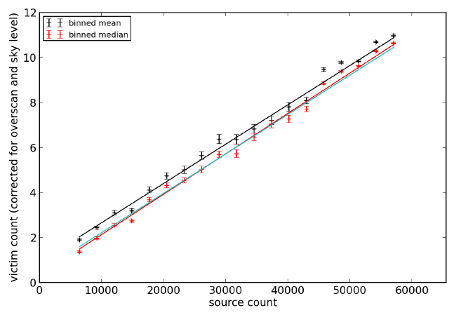
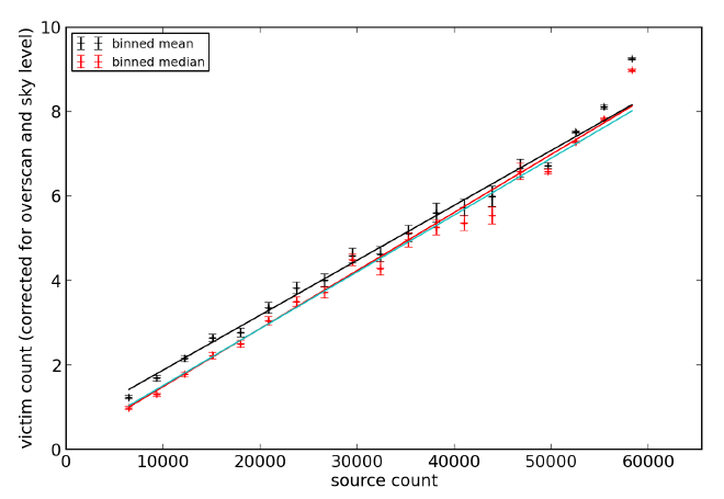
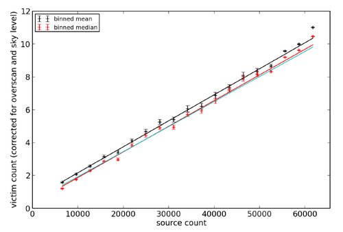
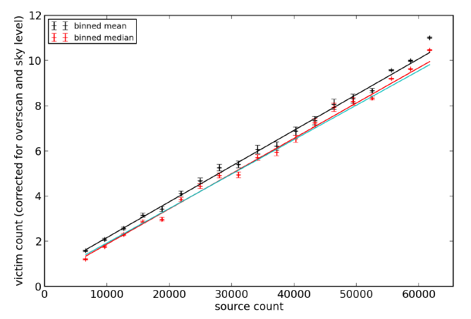
Example exposures (images may show same ccd several times with different scaling to make sources/victims visible), source vs. victim pixel counts show no strong non-linearities:







